3〜4状態間のマルコフ連鎖
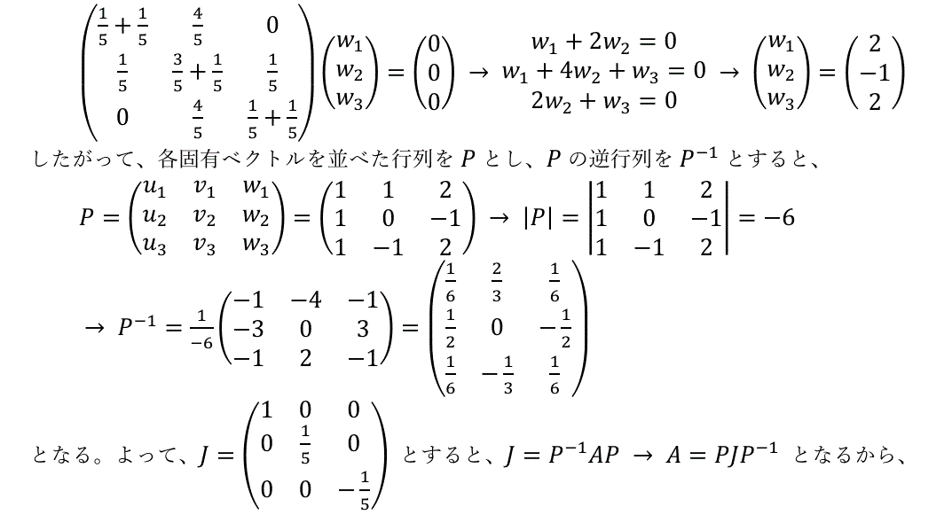
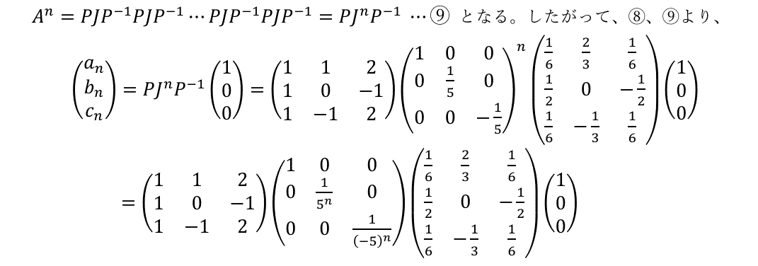
マルコフ連鎖の中には、3つの状態を遷移するマルコフ連鎖があります。そこで、一般的な3状態間のマルコフ連鎖として、(問題1)とその解答を、以下に
紹介いたします。
つぎに、4つの状態を遷移するマルコフ連鎖を考えてみましょう。ただし、一般的な4状態間のマルコフ連鎖は、3状態間の場合よりもだいぶ複雑になります。
そこで、比較的簡単な4状態間のマルコフ連鎖として、(問題2)とその解答を、以下に紹介いたします。
つぎに、6つの状態を遷移するマルコフ連鎖を考えてみましょう。ただし、一般的な6状態間のマルコフ連鎖は非常に複雑なものとなります。そこで、3種類の状態をもつ6状態間マルコフ連鎖として、(問題3)とその解答を、以下に紹介いたします。
参考資料:
・Wikipedia 『マルコフ連鎖』
・下記URL
https://www.risalc.info/src/stochastic-matrix.html ( 理数アラカルト 『確率行列とは? 〜性質と具体例〜』 )

